第一章 总 则
第一条 课程是支持本科毕业要求达成和能力培养的基本教学单元,课程目标达成度评价是本科人才培养全过程中的重要环节,是衡量学生是否达到本专业毕业要求的重要依据,因此,需要定期对学生的课程目标达成情况进行评价。根据《普通高等学校本科专业类教学质量国家标准(试行)》、《工程教育认证标准》、《广东工业大学本科课程评估办法(广工大规字〔2020〕21号附件9)》、《live007比分
本科课程目标达成情况评价机制与实施办法(院字〔2021〕07号)》,秉持“以学生为中心、产出导向、持续改进”基本理念,为了合理评价课程目标达成情况,保证课程教学质量、促进课程教学持续改进,支持本专业毕业要求的达成,特制定化学工程与工艺专业本科课程目标达成情况评价机制与实施办法。
第二章 课程目标达成情况评价办法
第二条 评价机构
化学工程与工艺专业课程目标达成情况的评价工作小组组成如下,负责各课程目标达成情况评价工作的具体实施。
组长:专业负责人/系主任
成员:系副主任、课程负责人/任课教师
专业负责人为课程目标达成情况评价工作实施的责任人。
课程目标达成情况评价工作小组根据本工作方案,负责审查课程考核内容、考核形式、评价所基于的数据,组织开展本专业课程目标达成情况评价工作,审核课程负责人/任课教师所形成的 课程目标达成情况评价报告的合理性。
课程负责人/任课教师负责所承担课程的目标达成情况评价具体工作,包括课程教学文件的制定实施、教学活动的开展以及课程考核/考查成绩的评定,并形成课程目标达成情况评价报告。
第三条 评价对象
课程目标达成情况的评价对象是化学工程与工艺专业培养计划中用于毕业要求达成评价的教学环节,包括理论课程、实践课程和集中实践环节等。
第四条 评价责任人及其承担的工作
课程目标达成情况的评价责任人为课程负责人。课程负责人负责制定(修订)课程教学大纲,课程考核结束后,依据教学大纲和考核结果对课程目标达成度进行评价与分析,撰写《××课程目标达成度情况分析及持续改进报告》并提交给系主任。
第五条 评价方法
化学工程与工艺专业课程目标达成度的评价方法主要采用基于课程考核结果的定量评价法,同时鼓励课程负责人积极探索其他合理的定性评价法对课程目标达成情况进行综合评价。
1.课程目标达成情况定量评价法
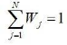
课程目标达成情况定量评价法的数据来源为课程教学大纲中支撑课程目标的各考核环节的考核结果,若课程目标 i 的达成度OAi由 N 个考核点支撑,设第 j 个考核点的总分为 Sj,学生平均分为Aj,权值为 Wj,那么课程目标 i 的达成度评价值按式(1)计算:

(1)式中,支撑课程目标 i 达成度的所有考核点的权值之和为1,即:
。
2.课程目标达成情况定量评价法
课程目标达成情况定性评价法主要包括问卷法、座谈交流法等。要求课程负责人通过定性评价法掌握课程目标达成情况,了解学生对课程目标达成情况的认可度,思考同行专家对课程目标达成情况的评价与意见,及时总结并持续改进。
第六条 评价流程与实施办法
1. 课程负责人依照课程教学大纲开展课程教学及考核工作。
2. 课程考核结束后,课程负责人负责汇总各教学班的考核数据,根据各考核环节认真确定支撑课程目标达成度的考核点及其权重值并充分说明支撑理由,计算课程目标达成度评价值;同时采用定性评价法进行分析与总结。
3. 课程负责人依据课程目标达成度评价结果,认真分析和总结课程教学各环节的实际效果,发现课程教学的短板,拟定课程教学持续改进的方案,撰写《××课程目标达成情况分析及持续改进报告》,并交给系主任审核。要求《报告》能准确分析课程教学现状,
4. 专业系主任、课程负责人依次审核本专业所有课程的目标达成度情况分析及持续改进报告,并给出具体的审核意见。对于审核通过的课程,要求课程负责人在下一轮教学中按照拟定的持续改进措施开展教学活动。对于审核未通过的课程,将由系主任组织专业骨干教师协助课程负责人完成该课程目标达成度的评价、分析并拟定持续改进方案。对于连续两次提交审核未通过的课程负责人,系主任将提请专业责任教授更换课程负责人人选。
第三章 附则
第七条 化学工程与工艺专业课程目标达成情况评价每学年开展一次。
第六条 本办法由化学工程系负责解释,自 2021 年 6 月 1 日起施行。